The Jackson Laboratory

Data & Statistical Core

About

The overall goal of the Data and Statistical Core is to provide critical infrastructure to JAX NSC activities including: colony management, procedure scheduling, data management, and quality control. We have developed study designs, statistical methods, and software to support the analysis of mouse aging studies. Across 55 pilot projects funded by the JAX-NSC, the Core has supported the national and international aging research community in 14 states and 4 countries.

Core leader: Gary Churchill

Contact Gary

Data & statistical core resources

Data management and quality control

Since 2019, all JAX NSC data have been acquired and managed in our cloud-based laboratory information management system (CLIMB, Rockstep Inc., Portland, ME). CLIMB provides procedure scheduling, sample tracking, and quality control procedures. Most data are now collected directly into CLIMB from measurement instruments. CLIMB provides traceable data provenance in a comprehensive project and data management system that represents a significant milestone for the JAX NSC.

About CLIMB

Data resources

Since its inception in 2010, JAX NSC has carried out eight large-scale studies to generate lifespan, and clinical and molecular trait data. These data encompass thousands of mice with hundreds of clinical traits and molecular profiling data.

Browse data & resources

Statistical support for aging studies

The core has provided tangible support and collaboration on multiple research projects in the field of aging. All pilot projects awarded through the JAX NSC are reviewed by the core to evaluate the experimental design, including sample size and power, randomization, potential confounders, and unbiased methods for data collection.

About Pilot Award Program

The Aging Proteome

The core has sustained an ongoing focus on the aging proteome and its relationship to gene expression (transcripts) as well as lifespan and health outcome. Our work with genetically heterogeneous mouse models revealed age-related uncoupling of RNA and protein as well as age-related changes in large protein complexes including ribosomes and the proteosome Takemon et al, 2021, Gerdes-Gyuriczca et al., 2022). We expanded our analysis of proteins to look at effects across multiple tissues and observed tissue-specific variation in the rate of aging (Keele et al., 2023). These studies have laid the ground for an ongoing collaboration with the University of Washington NSC.

Read Keele et al

Fragility study

In coordination with JAX Veterinary Services we developed and tested non-invasive strategies based on the Frailty Index (Whitehead et al., 2014). The study findings have been accepted for publication in Geroscience (Luciano et al., 2024).

Read full publication
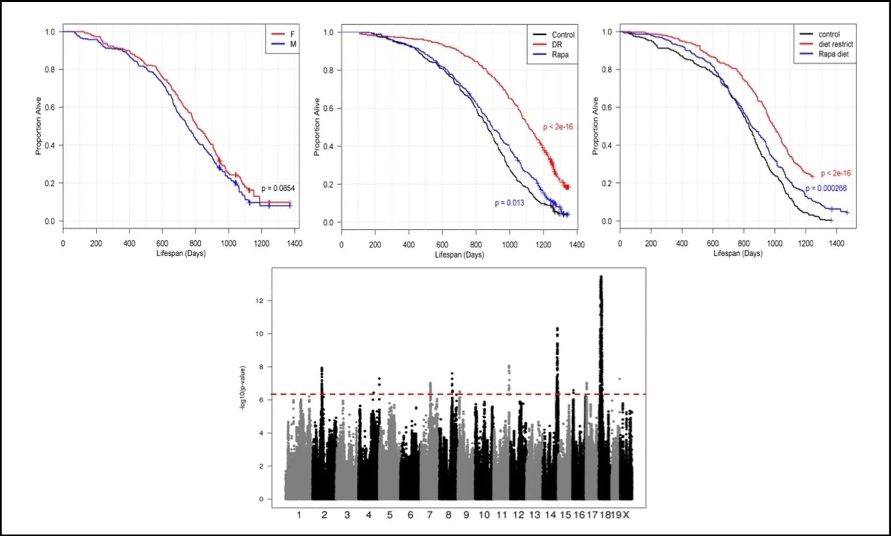
Figure 1. Kaplan-Meier curves demonstrate concordance of lifespan and response to interventions with DO mice across three independent studies. Genetic mapping analysis of the combined data from these studies reveals dozens of significant associations that together explain 50% of the genetic contribution to lifespan in DO mice.

Related Resources

©2026 The Jackson Laboratory